Oral Argument Template - A sample outline that may be used by counsel as a general guideline during an appellate oral argument. Web “to my first point.” this is the simplest way to transition into your argument. Web tips for moot court tryouts: When you open as the appellant, you want to get the panel engaged from the outset in your argument. Advanced preparation principles and techniques; This site contains oral argument recordings released from may 21, 2008 to the present. The guide helps you understand oral argument’s purposes, how to prepare for and structure your oral argument, how to answer questions, and how to argue ethically, appropriately, and with style. The guide also includes an annotated transcript of an oral argument. • oral arguments start when the panel enters the room (or you enter the room). It is also extremely difficult to switch sides in oral arguments, and there is always the danger that you will accidentally begin arguing the wrong side during your argument.
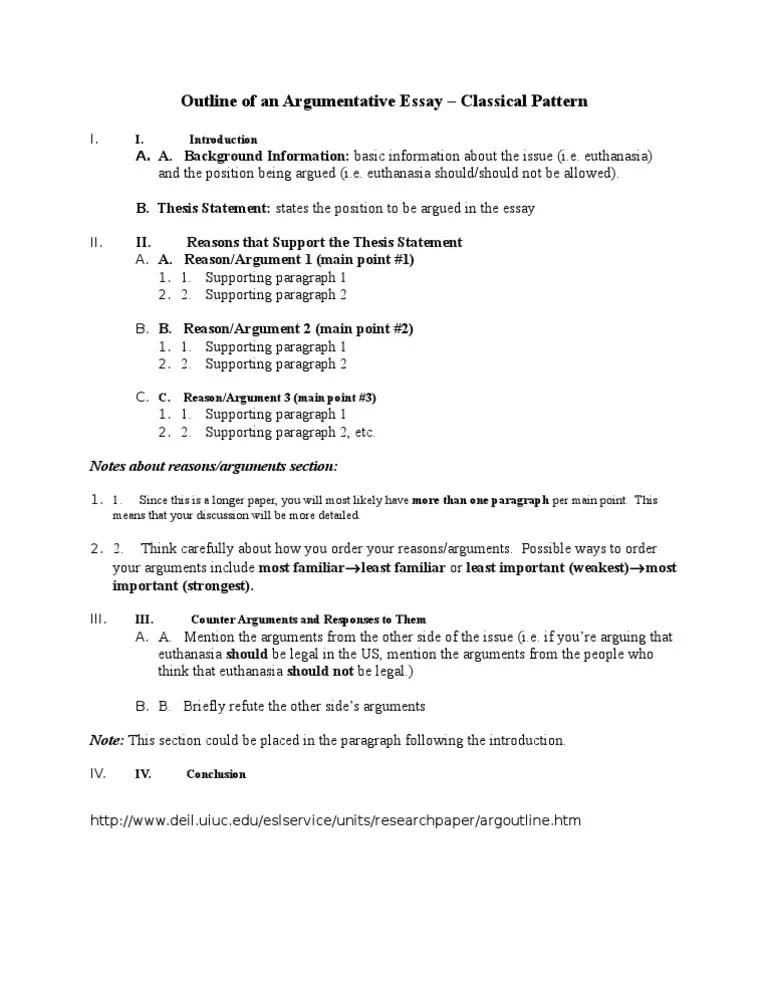
Outline of Argumentative Essay
An advocate’s demeanour 26 iii. Web it obviously depends on the case, the number and type of issues on appeal, and the court itself, but here are some opening gambits to consider and test in any mock oral argument you conduct. The guide also includes an annotated transcript of an oral argument. Web oral argumen t/ an sanciscrf o oral.
MacLitigator Litigation & trial technology for the rest of us. Page 6
Web an effective oral argument in both trial and appellate courts. Web in some juvenile appeals, you may have to serve and file a request for oral argument (if you want it). Web to allow oral argument in counseled cases unless (a) the appeal is frivolous; Advanced preparation principles and techniques; (b) the dispositive issue or set of issues have.
Oral Report Outline Free Online Sex Tv
It is also extremely difficult to switch sides in oral arguments, and there is always the danger that you will accidentally begin arguing the wrong side during your argument. Web if you think of (and/or organize) your oral argument in outline form, the two or three reasons contained within your roadmap should be the highest levels of your outline (below.
Moot Court Oral Argument Outline Prayer Politics
• oral arguments start when the panel enters the room (or you enter the room). Web the opposite side. Web in some juvenile appeals, you may have to serve and file a request for oral argument (if you want it). The requests for oral argument, the statements of jurisdiction, forwarding letters, etc., may not apply to your case. You are.
Sample Argument Outline
A sample outline that may be used by counsel as a general guideline during an appellate oral argument. Sometimes knowing what not to do during oral argument is as important as knowing what to do. Opening the argument as the appellant. Simplicity without simplification 19 chapter two: Web the language in the samples, i.e.
PPT First Year Oral Arguments PowerPoint Presentation, free download
Web tips for moot court tryouts: • oral arguments start when the panel enters the room (or you enter the room). This week, we’re tackling the main elements of successful oral arguments. Web a single stray statement could mean, for your client, the difference between victory and defeat—and, for yourself, the difference between a promising professional trajectory and something quite.
Tips for Better Brief Writing and Oral Argument Summary Judgment
Web oral argumen t/ an sanciscrf o oral argumen t/ acrsamenot oral argumen t /los angeles oral argumen t/ special essions court holiday conference supreme court Structuring your oral submissions 29 iv. There are other transitional phrases you can use but this one is the most common. The body of your argument. 9 elements of successful oral arguments.
Oral Argument prepared to be presented for Court of Appeal Hearing
Preparing for oral arguments 24 ii. Web if you think of (and/or organize) your oral argument in outline form, the two or three reasons contained within your roadmap should be the highest levels of your outline (below the conclusion you want the court to reach). The panel made observations about what should be avoided during argument. When you open as.
Oral Argument Outline Template
The requests for oral argument, the statements of jurisdiction, forwarding letters, etc., may not apply to your case. The body of your argument. Basic approaches to presenting oral argument; Web tips for moot court tryouts: Web in some juvenile appeals, you may have to serve and file a request for oral argument (if you want it).
45+ Argumentative Essay Examples Topics most complete Exam
Basic approaches to presenting oral argument; The requests for oral argument, the statements of jurisdiction, forwarding letters, etc., may not apply to your case. Web official court forms referenced in or required by the federal circuit rules of practice are available below. Information relating to federal circuit oral arguments can be found on these pages. Web focused on areas other.
Web an argumentative speech is a persuasive speech in which the speaker attempts to persuade his audience to alter their viewpoints on a controversial issue. This week, we’re tackling the main elements of successful oral arguments. Opening the argument as the appellant. Writing and analysis course (note that some courses, like constitutional law, may have an oral argument. Your first exposure to oral argument at georgetown will likely arise during the second semester of your legal practice: Write your outline on the inside of a manila folder that you take up to the podium with you. The requests for oral argument, the statements of jurisdiction, forwarding letters, etc., may not apply to your case. The guide helps you understand oral argument’s purposes, how to prepare for and structure your oral argument, how to answer questions, and how to argue ethically, appropriately, and with style. The panel made observations about what should be avoided during argument. There are other transitional phrases you can use but this one is the most common. Web tips for moot court tryouts: Sometimes knowing what not to do during oral argument is as important as knowing what to do. Common mistakes in oral arguments… Web official court forms referenced in or required by the federal circuit rules of practice are available below. Responding to your opponents’ arguments. Basic approaches to presenting oral argument; Web if you think of (and/or organize) your oral argument in outline form, the two or three reasons contained within your roadmap should be the highest levels of your outline (below the conclusion you want the court to reach). This standard document contains integrated drafting notes with important. Web 2019 the writing center at gulc. Web an effective oral argument in both trial and appellate courts.
Web The Language In The Samples, I.e.
Note that preparing both sides of an argument, whether or not you actually are required to do so, is a very effective way to prepare for any oral argument. Common mistakes in oral arguments… This standard document contains integrated drafting notes with important. Web if you think of (and/or organize) your oral argument in outline form, the two or three reasons contained within your roadmap should be the highest levels of your outline (below the conclusion you want the court to reach).
Web The Opposite Side.
Web covers the preparation process; Your first exposure to oral argument at georgetown will likely arise during the second semester of your legal practice: Web in some juvenile appeals, you may have to serve and file a request for oral argument (if you want it). The body of your argument.
Web An Argumentative Speech Is A Persuasive Speech In Which The Speaker Attempts To Persuade His Audience To Alter Their Viewpoints On A Controversial Issue.
Write your outline on the inside of a manila folder that you take up to the podium with you. • oral arguments start when the panel enters the room (or you enter the room). Web tips for moot court tryouts: Responding to your opponents’ arguments.
The Requests For Oral Argument, The Statements Of Jurisdiction, Forwarding Letters, Etc., May Not Apply To Your Case.
“which leads me to my second point.” once you’ve gone through the first issue in your argument… Web a single stray statement could mean, for your client, the difference between victory and defeat—and, for yourself, the difference between a promising professional trajectory and something quite different. Writing and analysis course (note that some courses, like constitutional law, may have an oral argument. You will have to tailor your briefs to the specifics of your case.




