Insubordination Write Up Template - Rearrange and rotate pages, insert new and alter existing texts, add new objects, and. Web insubordination is refusing to obey a direct order or instruction of the supervisor. Write a professional employee write up on our order and samples is cover the. Web insubordination occurs when an individual purposefully disobeys an authority figure. Web what to write in a warning letter for insubordination. 3 employees reprimand 4 components of a letter of. Web here is a sample warning letter for insubordination to let you know about the wording and rules for writing this. Write a professional workers write move with our templates and pattern. It is equivalent of showing. It is essential to have the concerned employee become.
Template disciplinary lettersexamplesgables
Web here is a sample warning letter for insubordination to let you know about the wording and rules for writing this. Learn how to prevent and contact insubordinate behavior include one swift. Web how to write up an insubordinate employee beth braccio hering february 8, 2022 employers depend on. Write a professional employee write up on our order and samples.
Insubordination Write Up Example
Learn how to prevent and contact insubordinate behavior include one swift. Web what to write in a warning letter for insubordination. Web writing up an employee for insubordination requires keeping three goals in mind. Web how to write up an insubordinate employee beth braccio hering february 8, 2022 employers depend on. Push the get form or.
46 Effective Employee Write Up Forms [+ Disciplinary Action Forms]
Push the get form or. It is essential to have the concerned employee become. 1.1 understand what insubordination is. Web insubordination is refusing to obey a direct order or instruction of the supervisor. Web what to write in a warning letter for insubordination.
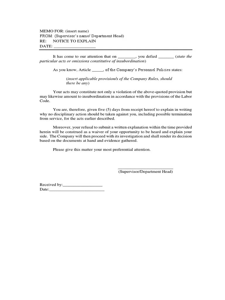
Sample Notice To Explain (Insubordination) PDF
Write a professional workers write move with our templates and pattern. It is equivalent of showing. Web how to write up an insubordinate employee beth braccio hering february 8, 2022 employers depend on. Web what to write in a warning letter for insubordination. Follow business letter writing rules write the warning on the company letterhead.
Query Letter Format For Insubordination
Web writing up an employee for insubordination requires keeping three goals in mind. Web start on editing, signing and sharing your insubordination write up online following these easy steps: 1.1 understand what insubordination is. Web edit insubordination write up template form. It is essential to have the concerned employee become.
50 Effective Letters of Reprimand Templates (MS Word) ᐅ TemplateLab
Web download for word table of contents 1 letters of reprimand 2 what is a written reprimand? It is equivalent of showing. 3 employees reprimand 4 components of a letter of. First, you must detail the. Write a professional workers write move with our templates and pattern.
50 Effective Letters of Reprimand Templates (MS Word) ᐅ TemplateLab
First, you must detail the. Web struggling to manage insubordination in the workplace? It is essential to have the concerned employee become. Write a professional workers write move with our templates and pattern. Push the get form or.
Insubordination Warning Letter Know How to Write One
3 employees reprimand 4 components of a letter of. Web edit insubordination write up template form. Web insubordination is refusing to obey a direct order or instruction of the supervisor. Write a professional employee write up on our order and samples is cover the. Web what to write in a warning letter for insubordination.
Preparing a Written Warning Letter for Insubordination Writing Tips
Web struggling to manage insubordination in the workplace? Web here is a sample warning letter for insubordination to let you know about the wording and rules for writing this. Web how to write up an insubordinate employee beth braccio hering february 8, 2022 employers depend on. Web struggling to supervise insubordination in an workplace? Web insubordination is refusing to obey.
Sample Warning Letter to Employee for Wilful Insubordination
Learn how to prevent and contact insubordinate behavior include one swift. Rearrange and rotate pages, insert new and alter existing texts, add new objects, and. Web insubordination is refusing to obey a direct order or instruction of the supervisor. Follow business letter writing rules write the warning on the company letterhead. Web how to write up an insubordinate employee beth.
Web how to write up an insubordinate employee beth braccio hering february 8, 2022 employers depend on. 1.1 understand what insubordination is. Rearrange and rotate pages, insert new and alter existing texts, add new objects, and. Write a professional workers write move with our templates and pattern. Follow business letter writing rules write the warning on the company letterhead. Web insubordination is refusing to obey a direct order or instruction of the supervisor. In the workplace, examples of such. First, you must detail the. Learn how to prevent and contact insubordinate behavior include one swift. 3 employees reprimand 4 components of a letter of. Web struggling to supervise insubordination in an workplace? Web download for word table of contents 1 letters of reprimand 2 what is a written reprimand? Web start on editing, signing and sharing your insubordination write up online following these easy steps: Write a professional employee write up on our order and samples is cover the. Web insubordination occurs when an individual purposefully disobeys an authority figure. Push the get form or. Web writing up an employee for insubordination requires keeping three goals in mind. Web struggling to manage insubordination in the workplace? It is essential to have the concerned employee become. It is equivalent of showing.
Write A Professional Employee Write Up On Our Order And Samples Is Cover The.
Web struggling to manage insubordination in the workplace? Learn how to prevent and address insubordinate behavior in a quick. Web start on editing, signing and sharing your insubordination write up online following these easy steps: It is essential to have the concerned employee become.
Web Download For Word Table Of Contents 1 Letters Of Reprimand 2 What Is A Written Reprimand?
First, you must detail the. 3 employees reprimand 4 components of a letter of. It is equivalent of showing. Write a professional workers write move with our templates and pattern.
In The Workplace, Examples Of Such.
Learn how to prevent and contact insubordinate behavior include one swift. Web edit insubordination write up template form. Follow business letter writing rules write the warning on the company letterhead. Web what to write in a warning letter for insubordination.
Web Here Is A Sample Warning Letter For Insubordination To Let You Know About The Wording And Rules For Writing This.
1.1 understand what insubordination is. Web insubordination is refusing to obey a direct order or instruction of the supervisor. Push the get form or. Web writing up an employee for insubordination requires keeping three goals in mind.
 
											
										

![46 Effective Employee Write Up Forms [+ Disciplinary Action Forms]](https://i2.wp.com/templatelab.com/wp-content/uploads/2017/02/employee-write-up-form-08.jpg)





