Discovery Request Template - Additional copies of this guide can be accessed at: Web learn more about when and how to use types written discovery, subpoenas, and how to respond to discovery requests. Web making your own discovery requests can allow you to: Discovery from a party to your case request. Find out what the other side plans to say about your case. Sample request for admission names of requesting responding parties, and set number these requests. Do not sign this is. Discovery requests • request for production of documents and things • requests for admission • special interrogatories other guides on discovery Be sure to mention rule 34 and rule 26(b), which outline the scope of the discovery request. Links to download the fillable forms are at the end of this guide.
Discovery Request Sample Form Fill Out and Sign Printable PDF
Sample request for admission names of requesting responding parties, and set number these requests. Discovery requests • request for production of documents and things • requests for admission • special interrogatories other guides on discovery Find facts or witnesses to support your side. Additional copies of this guide can be accessed at: Discovery requests typically follow a common format that.
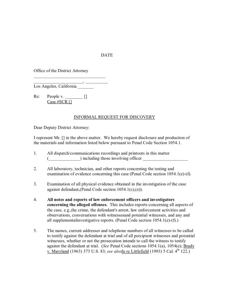
Sample Request for Discovery in California Under Penal Code Section
Links to download the fillable forms are at the end of this guide. Use the name the party, party’s attorney. Be sure to mention rule 34 and rule 26(b), which outline the scope of the discovery request. Web making your own discovery requests can allow you to: Web it’s also possible that the party will object to part of the.
sample requesting discovery Doc Template pdfFiller
Web making your own discovery requests can allow you to: Web this guide includes instructions and sample forms. Discovery from a party to your case request. Web learn more about when and how to use types written discovery, subpoenas, and how to respond to discovery requests. Additional copies of this guide can be accessed at:
discovery request documents Doc Template pdfFiller
Additional copies of this guide can be accessed at: First, list instructions detailing the request for production. Be sure to mention rule 34 and rule 26(b), which outline the scope of the discovery request. Web learn more about when and how to use types written discovery, subpoenas, and how to respond to discovery requests. Web making your own discovery requests.
Minnesota Discovery Request for Production of Documents Minnesota
Additional copies of this guide can be accessed at: Do not sign this is. Find facts or witnesses to support your side. Discovery from a party to your case request. First, list instructions detailing the request for production.
Sample Discovery Requests
Sample request for admission names of requesting responding parties, and set number these requests. Discovery requests • request for production of documents and things • requests for admission • special interrogatories other guides on discovery Web making your own discovery requests can allow you to: Links to download the fillable forms are at the end of this guide. Find out.
Response to Notice of Discovery
Discovery from a party to your case request. Use the name the party, party’s attorney. Sample request for admission names of requesting responding parties, and set number these requests. Additional copies of this guide can be accessed at: Discovery requests • request for production of documents and things • requests for admission • special interrogatories other guides on discovery
discovery request inspection sample Doc Template pdfFiller
Be sure to mention rule 34 and rule 26(b), which outline the scope of the discovery request. Additional copies of this guide can be accessed at: Links to download the fillable forms are at the end of this guide. Find out what the other side plans to say about your case. Do not sign this is.
PEOPLE OF THE STATE OF CALIFORNIA vs. HAO ZHONG
Use the name the party, party’s attorney. Find out what the other side plans to say about your case. Web this guide includes instructions and sample forms. Discovery requests typically follow a common format that you can mirror. Additional copies of this guide can be accessed at:
Informal Discovery Request
Find facts or witnesses to support your side. Do not sign this is. Sample request for admission names of requesting responding parties, and set number these requests. Web this guide includes instructions and sample forms. Web it’s also possible that the party will object to part of the request.
Web learn more about when and how to use types written discovery, subpoenas, and how to respond to discovery requests. First, list instructions detailing the request for production. Links to download the fillable forms are at the end of this guide. Discovery requests • request for production of documents and things • requests for admission • special interrogatories other guides on discovery Web it’s also possible that the party will object to part of the request. Find facts or witnesses to support your side. Discovery from a party to your case request. Find out what the other side plans to say about your case. Additional copies of this guide can be accessed at: Web this guide includes instructions and sample forms. Use the name the party, party’s attorney. Sample request for admission names of requesting responding parties, and set number these requests. Web making your own discovery requests can allow you to: Discovery requests typically follow a common format that you can mirror. Be sure to mention rule 34 and rule 26(b), which outline the scope of the discovery request. Do not sign this is.
Web Making Your Own Discovery Requests Can Allow You To:
Do not sign this is. Use the name the party, party’s attorney. Discovery requests typically follow a common format that you can mirror. Find out what the other side plans to say about your case.
Be Sure To Mention Rule 34 And Rule 26(B), Which Outline The Scope Of The Discovery Request.
First, list instructions detailing the request for production. Additional copies of this guide can be accessed at: Discovery from a party to your case request. Web learn more about when and how to use types written discovery, subpoenas, and how to respond to discovery requests.
Discovery Requests • Request For Production Of Documents And Things • Requests For Admission • Special Interrogatories Other Guides On Discovery
Web this guide includes instructions and sample forms. Web it’s also possible that the party will object to part of the request. Find facts or witnesses to support your side. Links to download the fillable forms are at the end of this guide.
											
										





