Broker Carrier Agreement Template - Who's requesting the broker's services; Broker is a licensed transportation broker that. Web for all shipments tendered by broker and accepted by carrier under this agreement, the rates, charges, and fees for the transportation and services shall be set forth in a load or rate confirmation sheet or similar document (confirmation sheet) in a form provided by broker. Sign online button or tick the preview image of the document. Let’s say a freight broker posts a load on a load board that needs to be picked up from dallas and delivered to kansas city. There are many agreement samples online that you and your attorneys can use to draw up your own freight broker carrier agreement. Web for carrier to the mutual benefit of carrier and broker, and shall offer carrier at least three (3) loads/shipments annually. A sample agreement that would be used between freight brokers and motor carriers. Create it with template.net’s free broker agreement templates. Broker agrees to pay carrier the agreed rates and charges for completed services within thirty (30) days of receipt of carrier’s invoice, which must be accompanied by a signed bill of lading and proof of delivery, and any other receipt or documentation broker.
Carrier Packet Form Fill Out and Sign Printable PDF Template signNow
Broker shall inform carrier of (a) place of origin and destination of all shipments; The freight broker may offer to pay the carrier. (“broker”), and (i) describes the terms by which broker. Web the broker and carrier’s agreement includes information such as the carrier’s motor carrier (mc) number, the agreement date, the number of days until payment, invoicing procedures, insurance..
Carrier Agreement Form the Form in Seconds Fill Out and Sign
Web broker agrees to arrange for transportation of shipper’s freight pursuant to the terms and conditions of this agreement and in compliance in all material respects with all federal, state and local laws and regulations relating to the brokerage of the freight covered by this agreement. A freight broker may negotiate a rate with a carrier before agreeing to freight.
Brokercarrier Agreement contract instant Download template Etsy
Web a broker carrier agreement, also known as simply a carrier agreement, or sometimes a carrier packet, is a legal contract between a freight broker and a carrier laying out the terms of transport for goods or materials. It includes details about the duration of the contract, which services the broker will provide the shipper, and the amount and types.
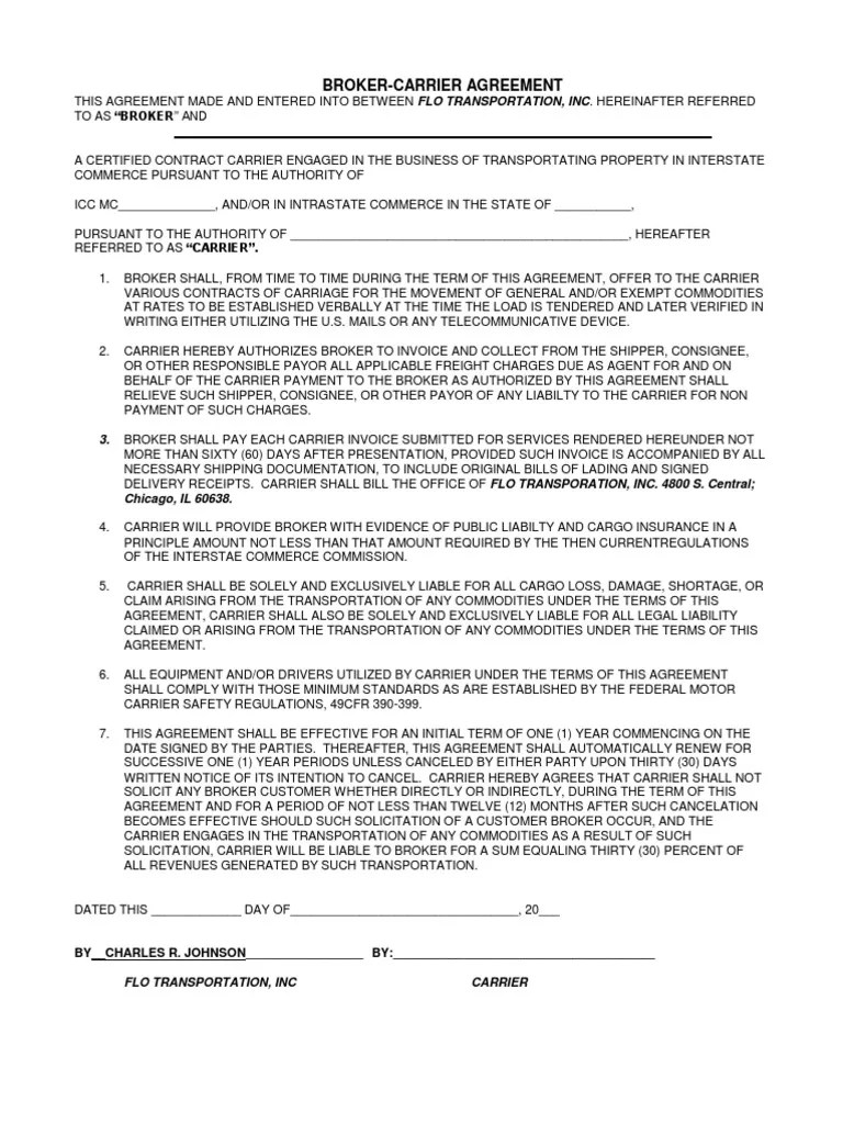
American PetroLog, LLC BrokerCarrier Agreement 11516.pdf Cargo
A sample agreement that would be used between freight brokers and motor carriers. A freight broker may negotiate a rate with a carrier before agreeing to freight contract terms and signing a broker carrier agreement. Web change in carrier’s safety ra ng requires immediate wri en no fica on to broker. Web you'll want to include details like: Create a.
Broker Carrier Agreement PDF Cargo Broker
Web you'll want to include details like: Web transportation business for carrier to the mutual benefit of carrier and broker, and shall offer carrier at least three (3) loads/shipments annually. Carrier shall be solely responsible for controlling the method, manner and means of accomplishing carrier… Whether the broker will be making introductions, or be involved in the details of the.
Carrier Agreement Broker Fill Online, Printable, Fillable, Blank
Carrier may not have an unsa sfactory or conditional ra ng under any ra ng system. Web a broker carrier agreement, also known as simply a carrier agreement, or sometimes a carrier packet, is a legal contract between a freight broker and a carrier laying out the terms of transport for goods or materials. Broker is a licensed transportation broker.
Business Broker Agreement Template
Web for carrier to the mutual benefit of carrier and broker, and shall offer carrier at least three (3) loads/shipments annually. Web transportation business for carrier to the mutual benefit of carrier and broker, and shall offer carrier at least three (3) loads/shipments annually. Web broker carrier agreement this agreement is made and entered into on 03/16/2020, by and between.
Shipper Broker Agreement Template Google Docs, Word, Apple Pages
And (b) if applicable, any special shipping instructions or special equipment requirements, of which broker. A sample agreement that would be used between freight brokers and motor carriers. Sign online button or tick the preview image of the document. Here are some contract templates… The advanced tools of the editor will direct you through the editable pdf template…
Simple Carrier/broker agreement instant Download template Etsy Australia
Broker shall inform carrier of (a) place of origin and destination of all shipments; Web the broker and carrier’s agreement includes information such as the carrier’s motor carrier (mc) number, the agreement date, the number of days until payment, invoicing procedures, insurance. Web for all shipments tendered by broker and accepted by carrier under this agreement, the rates, charges, and.
Business Broker Agreement Template
This agreement does not grant carrier an exclusive right to perform any transportation related services for broker or the entity that has retained broker (hereinafter, the “customer”). Web this fully customizable broker carrier agreement from jotform sign outlines the responsibilities of the broker and carrier, billing and payments, terms for non. Web broker carrier agreement. Whether the broker will be.
Let’s say a freight broker posts a load on a load board that needs to be picked up from dallas and delivered to kansas city. This agreement does not grant carrier an exclusive right to perform any transportation related services for broker or the entity that has retained broker (hereinafter, the “customer”). There are many agreement samples online that you and your attorneys can use to draw up your own freight broker carrier agreement. Web carrier shall furnish broker with certificate(s) of insurance, and shall provide thirty (30) days advance written notice of cancellation or termination, and unless. The advanced tools of the editor will direct you through the editable pdf template… A sample agreement that would be used between freight brokers and motor carriers. Web broker carrier agreement. Web broker agrees to arrange for transportation of shipper’s freight pursuant to the terms and conditions of this agreement and in compliance in all material respects with all federal, state and local laws and regulations relating to the brokerage of the freight covered by this agreement. Web transportation business for carrier to the mutual benefit of carrier and broker, and shall offer carrier at least three (3) loads/shipments annually. Web how to fill out the broker carrier agreement form on the internet: If carrier’s ra ng becomes condi onal or unsa sfactory, carrier’s no longer authorized as a carrier under this agreement. Broker agrees to pay carrier the agreed rates and charges for completed services within thirty (30) days of receipt of carrier’s invoice, which must be accompanied by a signed bill of lading and proof of delivery, and any other receipt or documentation broker. It includes details about the duration of the contract, which services the broker will provide the shipper, and the amount and types of carrier. Whether the broker will be making introductions, or be involved in the details of the transaction; The freight broker may offer to pay the carrier. A freight broker may negotiate a rate with a carrier before agreeing to freight contract terms and signing a broker carrier agreement. Web this fully customizable broker carrier agreement from jotform sign outlines the responsibilities of the broker and carrier, billing and payments, terms for non. To begin the document, utilize the fill camp; Web the broker and carrier’s agreement includes information such as the carrier’s motor carrier (mc) number, the agreement date, the number of days until payment, invoicing procedures, insurance. (“broker”), and (i) describes the terms by which broker.
Web Broker Agrees To Arrange For Transportation Of Shipper’s Freight Pursuant To The Terms And Conditions Of This Agreement And In Compliance In All Material Respects With All Federal, State And Local Laws And Regulations Relating To The Brokerage Of The Freight Covered By This Agreement.
Web transportation business for carrier to the mutual benefit of carrier and broker, and shall offer carrier at least three (3) loads/shipments annually. Let’s say a freight broker posts a load on a load board that needs to be picked up from dallas and delivered to kansas city. Broker shall inform carrier of (a) place of origin and destination of all shipments; There are many agreement samples online that you and your attorneys can use to draw up your own freight broker carrier agreement.
If Carrier’s Ra Ng Becomes Condi Onal Or Unsa Sfactory, Carrier’s No Longer Authorized As A Carrier Under This Agreement.
Web you'll want to include details like: And (b) if applicable, any special shipping instructions or special equipment requirements, of which broker. Web how to fill out the broker carrier agreement form on the internet: Here are some contract templates…
Web This Fully Customizable Broker Carrier Agreement From Jotform Sign Outlines The Responsibilities Of The Broker And Carrier, Billing And Payments, Terms For Non.
To begin the document, utilize the fill camp; The advanced tools of the editor will direct you through the editable pdf template… Web the broker and carrier’s agreement includes information such as the carrier’s motor carrier (mc) number, the agreement date, the number of days until payment, invoicing procedures, insurance. It includes details about the duration of the contract, which services the broker will provide the shipper, and the amount and types of carrier.
Create A Contract About Your Business, Commission, Exclusive Rights, And More Between Your Real Estate Agent, Carrier, Or Buyer.
Whether the broker will be finding goods or services; Carrier may not have an unsa sfactory or conditional ra ng under any ra ng system. Web outline the details of a broker's services and succeeding payment terms. Broker agrees to pay carrier the agreed rates and charges for completed services within thirty (30) days of receipt of carrier’s invoice, which must be accompanied by a signed bill of lading and proof of delivery, and any other receipt or documentation broker.







